Результат 2 из 2
Вопрос:
Вопрос с множественным выбором
|
А1.
|
График зависимости координаты х тела от времени t изображается прямой, проходящей через точки (0; 6) и (3; 0) (t в секундах, х - в метрах). Проекция скорости Vx тела на ось ОХ составляет:
|
- -2 м/с;
- 2 м/с;
- -3 м/с;
- 3 м/с;
- 6 м/с.
|
Результат 2 из 2
Вопрос:
Вопрос с множественным выбором
А2 Автомобиль, двигаясь равномерно со скоростью, модуль которой v1 = 45,0 км/ч, в течение времени t1 = 10,0 с прошел такой же путь, какой автобус, двигающийся в том же направлении, прошел за t2 = 15,0 с. Их модуль относительной скорости равен:

Результат 2 из 2
Вопрос:
Вопрос с множественным выбором
А3 Пловец переплывает реку, двигаясь перпендикулярно берегу, со скоростью, модуль которой v1 = 0,60 м/с относительно берега. Если модуль скорости течения реки равен v2 = 0,80 м/с, то модуль скорости пловца относительно воды составляет:

Результат 2 из 2
Вопрос:
Вопрос с множественным выбором
А4 Тело начинает движение с начальной скоростью, модуль которой vo = 1,0 м/с. Если за время t = 4,0 с модуль скорости тела достиг значения v = 5,0 м/с, то модуль перемещения тела составил:

Результат 2 из 2
Вопрос:
Вопрос с множественным выбором
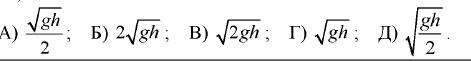
А5 Если потерями механической энергии при ударе и сопротивлением воздуха пренебречь, то модуль начальной скорости, с которым необходимо бросить мяч с высоты h, чтобы он подпрыгнул на высоту 2h, составляет:


Результат 2 из 2
Вопрос:
Вопрос с множественным выбором
А6 Ртуть (p1 = 13600 кг/м3) находится в сообщающихся сосудах, площади сечения которых относятся как 1:3. Уровень ртути в узком колене расположен на расстоянии h = 30 см от верхнего конца трубки. Если это колено доверху долить водой (р2 = 1000 кг/м3), то уровень ртути в правом колене повысится на:

Результат 2 из 2
Вопрос:
Вопрос с множественным выбором
А7 Масса водорода содержащего молекулы в количестве N=1.4*1022 составляет:

Результат 2 из 2
Вопрос:
Вопрос с множественным выбором
А8 При изотермическом процессе давление газа уменьшилось на дэльта р = 50 кПа. Если при этом объем увеличился в n = б раз, то его конечное давление составило:

Результат 2 из 2
Вопрос:
Вопрос с множественным выбором
А9 Если при нагревании одноатомного идеального газа на дельта t = 7 °С его внутренняя энергия увеличилась на дельта U = 348,6 Дж, то количество вещества составляет:

Результат 2 из 2
Вопрос:
Вопрос с множественным выбором
А10 Если электрон влетел с некоторой скоростью v0 в пространство плоского заряженного конденсатора (см. рисунок), то он будет двигаться:
1) ускоренно в направлении движения;
2) замедленно в направлении движения;
3) по параболе вниз;
4) по параболе вверх;
5) вращаться по окружности.

Результат 2 из 2
Вопрос:
Вопрос с множественным выбором
А11 Два одинаковых одноименных заряда q1 = q2 = 5,0*10 -9 Кл каждый расположены в вершинах равностороннего треугольника, длина стороны которого а = 20 см. Модуль напряженности электростатического поля в третьей вершине треугольника равен:

Результат 2 из 2
Вопрос:
Вопрос с множественным выбором
A12 К аккумулятору с внутренним сопротивлением r подключен резистор сопротивлением R1 = 9,4 Ом. Мощность, которая выделяется на резисторе R1 равна Р1 = 12 Вт. Если вместо резистора R2 включить резистор R2 = 7,0 Ом, то на нем выделится мощность Р2= 13 Вт. ЭДС аккумулятора равна:

Результат 2 из 2
Вопрос:
Вопрос с множественным выбором
A13 Два однородных магнитных поля, силовые линии которых взаимно перпендикулярны, имеют модули векторов магнитной индукции В1 = 0,80 Тл и В2 = 0,60 Тл. Модуль вектора магнитной индукции после наложения полей равен:

Результат 2 из 2
Вопрос:
Вопрос с множественным выбором
A14 Катушка имеет витки в количестве N = 100. Величина магнитного потока внешнего магнитного поля, пронизывающего катушку составляет Ф = 5*10- 4 Вб. Магнитное поле выключают. Средняя ЭДС индукции, возникшая в катушке, равна 0,1 В. Время выключения тока равно:

Результат 2 из 2
Вопрос:
Вопрос с множественным выбором
А15 На рисунке приведен график зависимости координаты лг колеблющейся точки от времени. Уравнение гармонических колебаний имеет вид:

Результат 2 из 2
Вопрос:
Вопрос с множественным выбором
А16 Оптическая разность хода двух монохроматических волн длиной 0,55 мкм, образующих при прохождении света через дифракционную решетку максимум второго порядка, составляет:
Результат 2 из 2
Вопрос:
Вопрос с множественным выбором
А17 Электрон в невозбужденном атоме водорода (Eо = -13,6 эВ) получил энергию W = 12,09 эВ. Этот электрон перешел на энергетический уровень с номером:
Результат 2 из 2
Вопрос:
Вопрос с множественным выбором
А18 Высота солнца нал горизонтом альфа = 46°. Чтобы отраженные от плоского зеркала солнечные лучи пошли вертикально вниз, угол падения световых лучей на зеркало должен быть равен:
Результат 5 из 5
Вопрос:
Тип коротких ответов для Quiz
Б1 Если тело массой m1 сталкивается с покоящимся телом массой m2 и угол между векторами скоростей тел после абсолютно упругого удара составляет а = 90°, то отношение масс тел m1/m2 равно ...
1
Ответ:
| Правильный ответ | Ответ пользователя |
| 1 | 1 |
Результат 5 из 5
Вопрос:
Тип коротких ответов для Quiz
Б2 Брусок лежит на доске. Если поднимать один конец доски, то при угле наклона а= 30° брусок начинает двигаться. Если угол наклона доски с горизонтом составит ß = 45°, то брусок соскользнет с доски длиной l = 6,0 м за время равное ... с.
2
Ответ:
| Правильный ответ | Ответ пользователя |
| 2 | 2 |
Результат 5 из 5
Вопрос:
Тип коротких ответов для Quiz
Самолет, мощность двигателей которого составляет Р = 3000 кВт, при модуле силы тяги F = 4,5 кН пролетел расстояние S = 360 км за 30 минут. КПД двигателей самолета равно ... %.
30
Ответ:
| Правильный ответ | Ответ пользователя |
| 30 | 30 |
Результат 5 из 5
Вопрос:
Тип коротких ответов для Quiz
Б4 Небольшая шайба соскальзывает с вершины закрепленной на полу гладкой полусферы радиусом R = 60 см. Начальная скорость шайбы равна нолю. Высота от поверхности пола, на которой шайба оторвется от полусферы, равна ... см.
40
Ответ:
| Правильный ответ | Ответ пользователя |
| 40 | 40 |
Результат 5 из 5
Вопрос:
Тип коротких ответов для Quiz
147
Ответ:
| Правильный ответ | Ответ пользователя |
| 147 | 147 |
Результат 5 из 5
Вопрос:
Тип коротких ответов для Quiz
402
Ответ:
| Правильный ответ | Ответ пользователя |
| 402 | 402 |
Результат 5 из 5
Вопрос:
Тип коротких ответов для Quiz
33
Ответ:
| Правильный ответ | Ответ пользователя |
| 33 | 33 |
Результат 5 из 5
Вопрос:
Тип коротких ответов для Quiz
27
Ответ:
| Правильный ответ | Ответ пользователя |
| 27 | 27 |
Результат 5 из 5
Вопрос:
Тип коротких ответов для Quiz
45
Ответ:
| Правильный ответ | Ответ пользователя |
| 45 | 45 |
Результат 5 из 5
Вопрос:
Тип коротких ответов для Quiz
3
Ответ:
| Правильный ответ | Ответ пользователя |
| 3 | 3 |
Результат 5 из 5
Вопрос:
Тип коротких ответов для Quiz
54
Ответ:
| Правильный ответ | Ответ пользователя |
| 54 | 54 |
Результат 5 из 5
Вопрос:
Тип коротких ответов для Quiz
20
Ответ:
| Правильный ответ | Ответ пользователя |
| 20 | 20 |